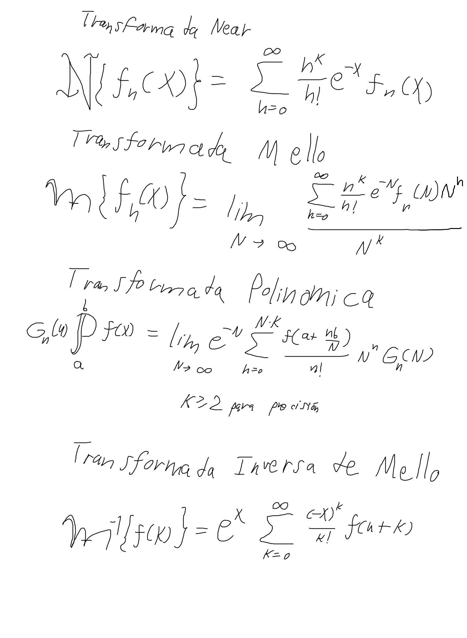
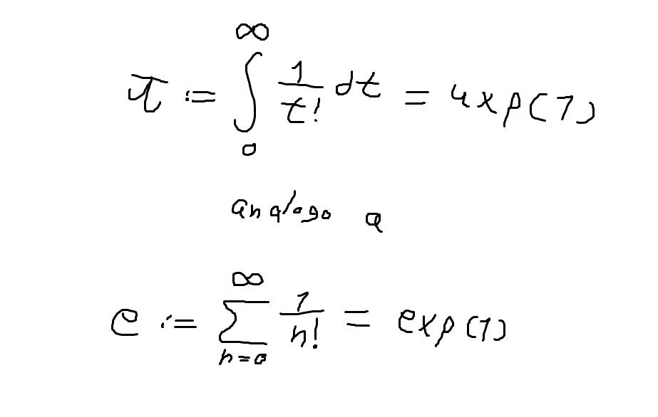
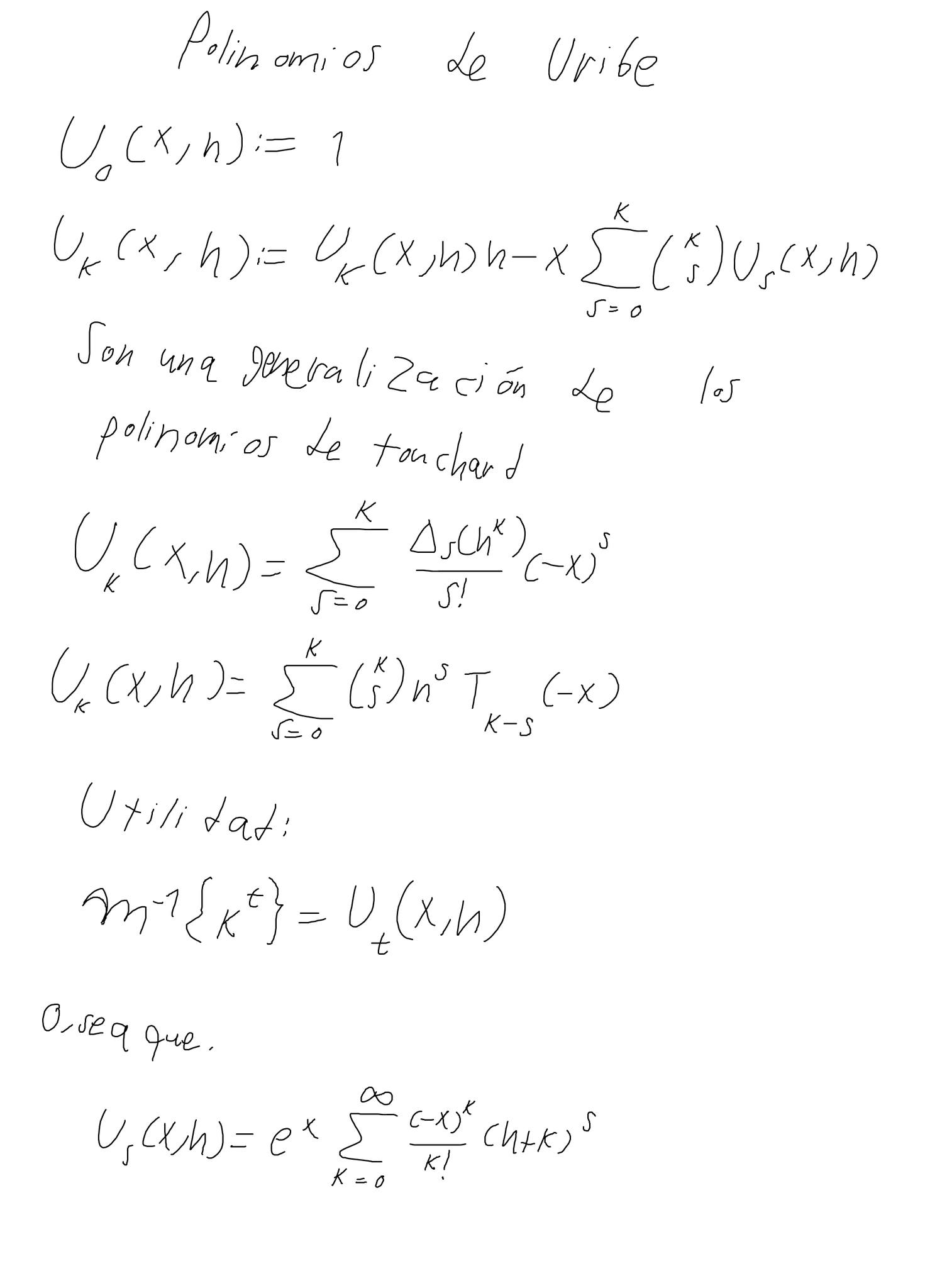
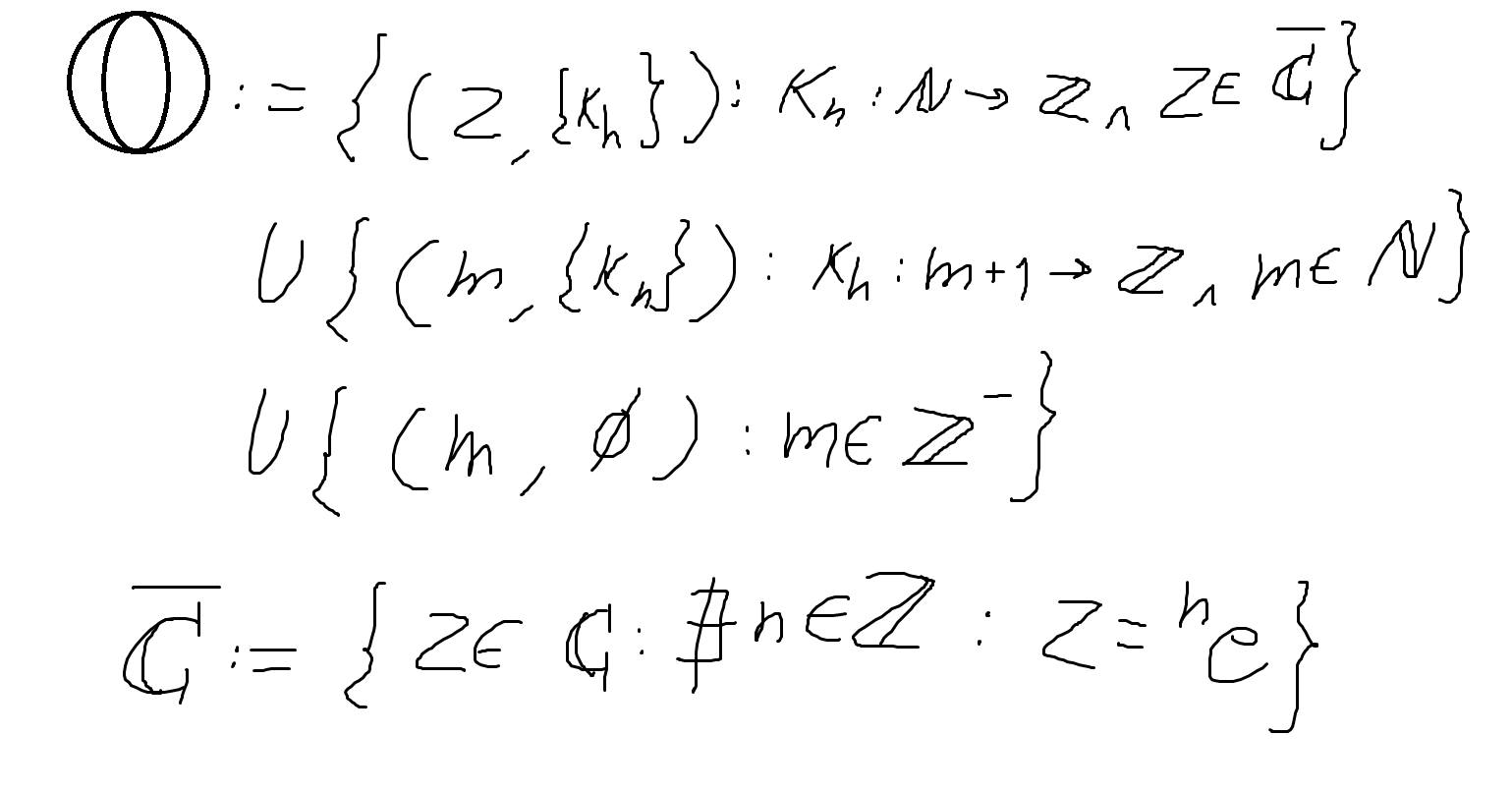
\( {}^y x \) \( \mathbb{N} \)uevas Matemáticas \( \sum \)
Inicio
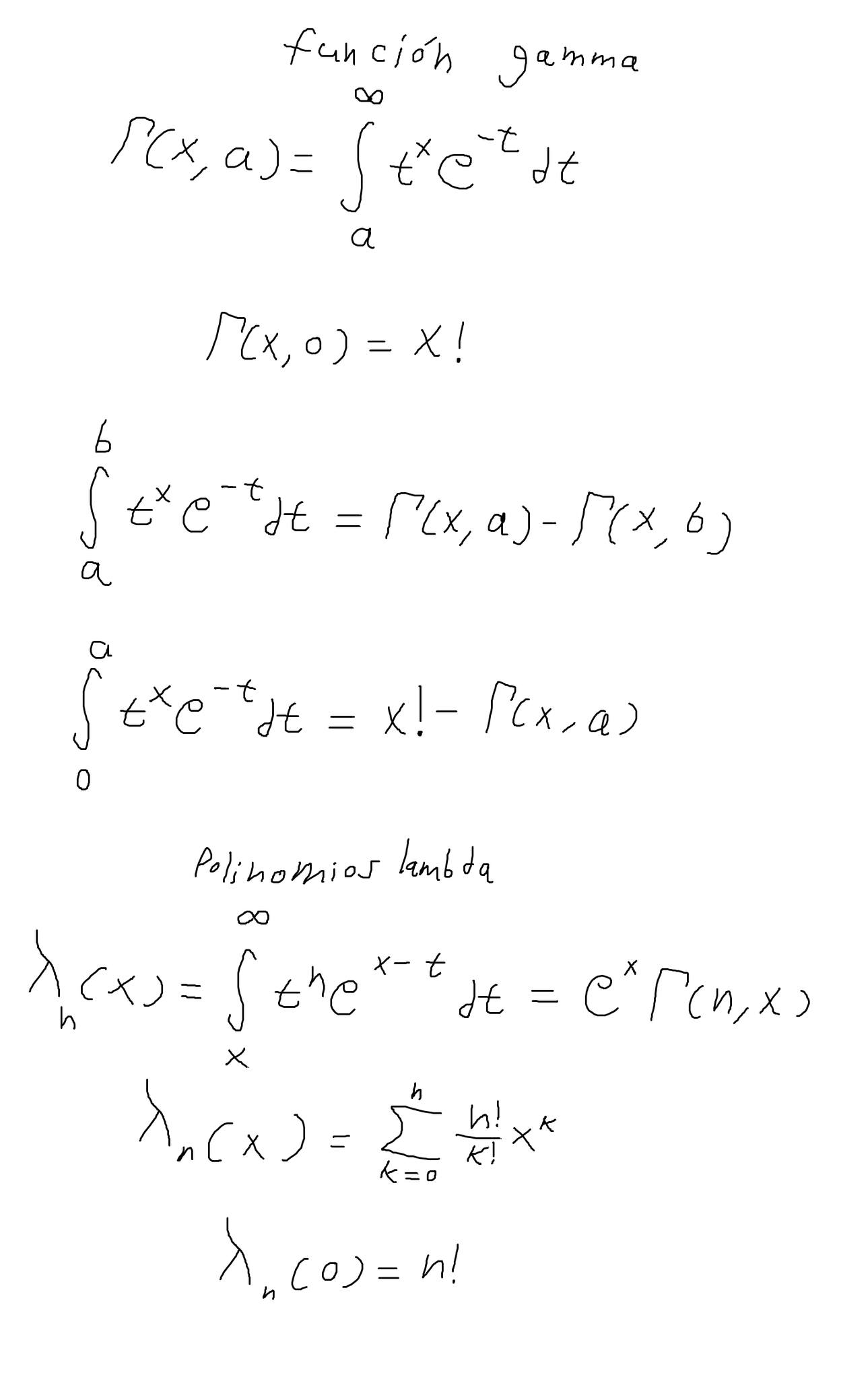
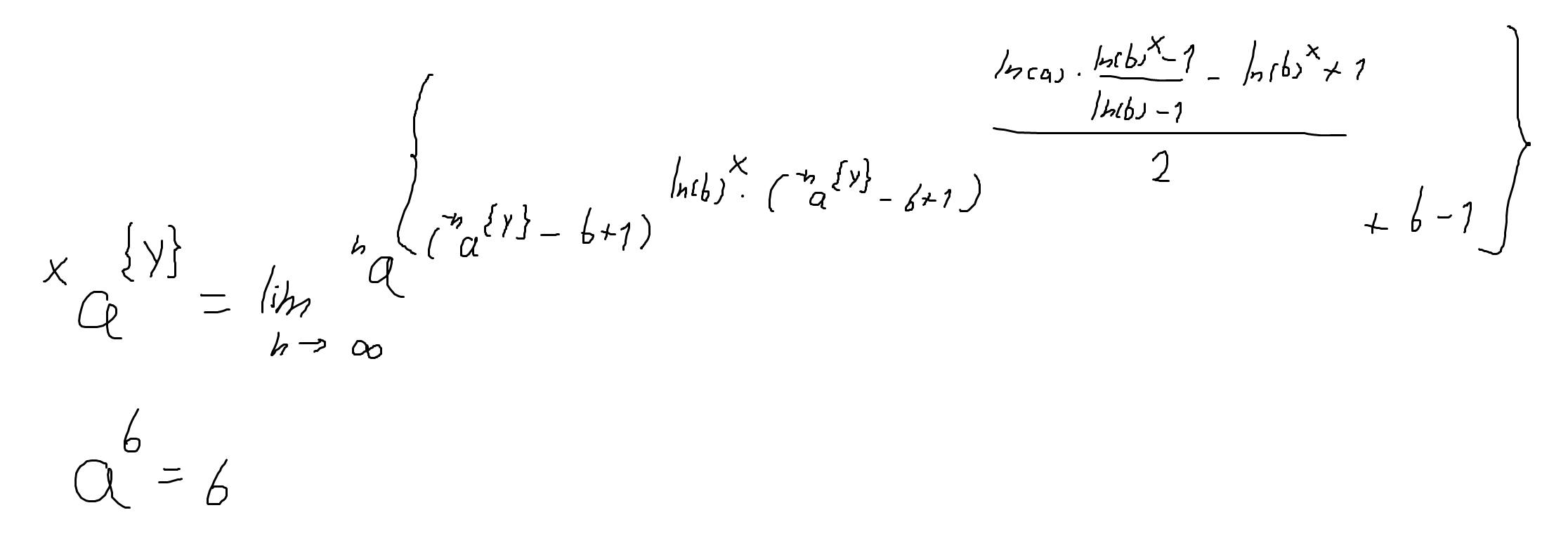
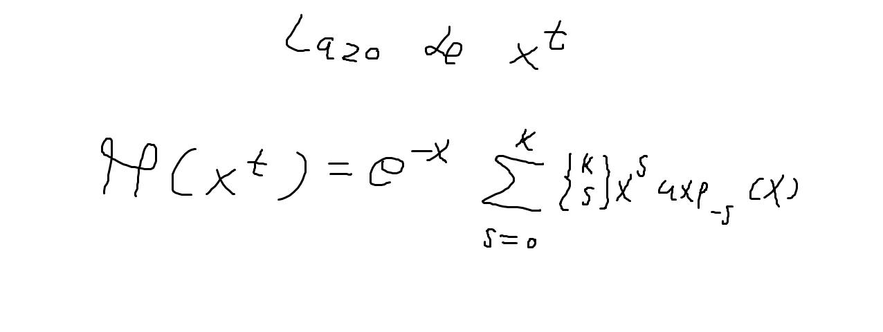
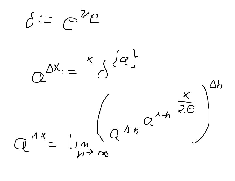
Tetración
Extensión
Ortogonales
Wiki
Galería
Contacto